开云官方端网页版登录入口
世界技能大赛中国集训基地
|
湖北省高水平专业群(A档)立项建设单位
|
省级教学团队
教育部学校标识码:4142012989 湖北招生代码:C603
首页
简介中心
学院专业
传媒影视学院
智能制造工程学院
信息工程学院
商学院
教育与管理学院
招生政策
招生计划
历年招生
招生简章
填报指南
录取查询
当前位置:
首页
/
高职单招
/ 正文
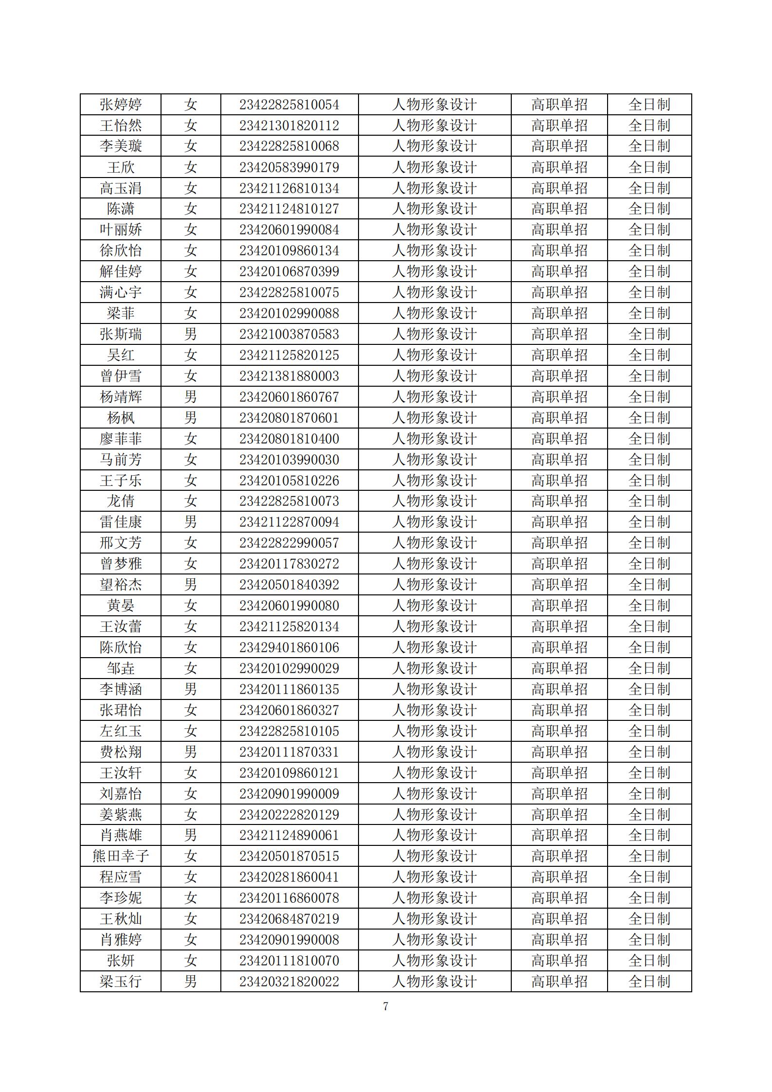
2023年湖北省高职单招拟录取考生名单公示
发布时间:2023-04-06 22:41:03
作者:zhaoshengban
阅读量:12348